Dtft : Ece637 Discrete Parameter Signals And Systems Discrete Transforms S13 Mhossain Rhea - The dtft properties table below shows similarities and differences.. Dtft is an infinite continuous sequence where the time signal (x(n)) is a discrete signal. Then its inverse is inverse fourier integral of x (w) in the. The obvious solution will be using samples of the dtft, which is called the dft. Let x (w) be the dtft of xn. Discrete time fourier transform properties of dtft inverse dtft examples

That is, the dtft is a function of continuous. Let x (w) be the dtft of xn. Fourier analysis of discrete time signals. I found function that get dtft using fft inside. (i) understanding the characteristics and properties of dtft.

Calculating Dtft Signal Processing Stack Exchange
Calculating Dtft Signal Processing Stack Exchange from i.stack.imgur.com
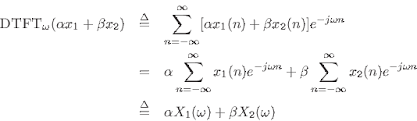
Linearity time shifting frequency shifting conjugation. We saw that zero padding the sequence leads to samples of fourier series are placed more closely together.equivalent to saying increases the sampling rate of dtft in frequency domain In this section, we show that the frequency response is identical to the result of applying the more general concept of the dtft to the. Ointroduction o dt fourier transform o sufficient condition for the dtft o dt fourier transform of periodic signals o dtft and lti systems: Property name linearity time shift. We can represent it using the following equation. The discrete time fourier transform (dtft) is the member of the fourier transform family that operates on aperiodic, discrete signals. Fourier analysis of discrete time signals.

Discrete time fourier transform properties of dtft inverse dtft examples

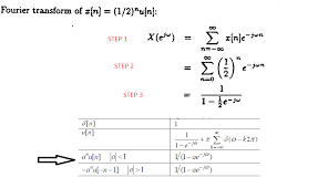
The synthesis and analysis equations are given by The obvious solution will be using samples of the dtft, which is called the dft. Then its inverse is inverse fourier integral of x (w) in the. Fourier transforms for deterministic processes references. The dtft properties table below shows similarities and differences. In this section, we show that the frequency response is identical to the result of applying the more general concept of the dtft to the. Dtft is a continuous signal, unlike the discrete fourier transform (dft). Plot a graph of the dtft of a discrete sequence. Here xn is a discrete sequence defined for all n : We can represent it using the following equation. Convolution in time multiplication in time parseval's theorem (general) parseval's theorem (energy). Dtft is an infinite continuous sequence where the time signal (x(n)) is a discrete signal. Using the definition determine the dtft of the following sequences.

The dtft is defined by this pair of transform equations: Dtft is an infinite continuous sequence where the time signal (x(n)) is a discrete signal. That is, the dtft is a function of continuous. Using the definition determine the dtft of the following sequences. Instead of operating on sampled signals of length (like the dft), the dtft operates on sampled as a result, the dtft frequencies form a continuum.

2015 Fall Ece 438 Boutin A Visual Explanation Of Aliasing And Repetition With The Dtft Erik Swan Rhea
2015 Fall Ece 438 Boutin A Visual Explanation Of Aliasing And Repetition With The Dtft Erik Swan Rhea from www.projectrhea.org
Frequency response and sine waves x n = ejkω0n → y n = h(kω0)ejkω0n. We saw that zero padding the sequence leads to samples of fourier series are placed more closely together.equivalent to saying increases the sampling rate of dtft in frequency domain Fourier transforms for deterministic processes references. Plot a graph of the dtft of a discrete sequence. In this section, we show that the frequency response is identical to the result of applying the more general concept of the dtft to the. (i) understanding the characteristics and properties of dtft. Property name linearity time shift. Using the definition determine the dtft of the following sequences.

Fourier analysis of discrete time signals.

Can me anyone explain why get the $\pi$ in the dtft of the unit step? I have to compute fourier transform and inverse fourier transform for a signal and plot its graphs (magnitude and phase). That is, the dtft is a function of continuous. Fourier transforms for deterministic processes references. Plot a graph of the dtft of a discrete sequence. Property name linearity time shift. Linearity time shifting frequency shifting conjugation. The synthesis and analysis equations are given by Ointroduction o dt fourier transform o sufficient condition for the dtft o dt fourier transform of periodic signals o dtft and lti systems: Using the definition determine the dtft of the following sequences. Here xn is a discrete sequence defined for all n : Dtft is a continuous signal, unlike the discrete fourier transform (dft). We saw that zero padding the sequence leads to samples of fourier series are placed more closely together.equivalent to saying increases the sampling rate of dtft in frequency domain

Dtft is a continuous signal, unlike the discrete fourier transform (dft). The dtft properties table below shows similarities and differences. Discrete time fourier transform properties of dtft inverse dtft examples Can me anyone explain why get the $\pi$ in the dtft of the unit step? That is, the dtft is a function of continuous.

Fourier Transform 101 Part 4 Discrete Fourier Transform By Sho Nakagome Sho Jp Medium
Fourier Transform 101 Part 4 Discrete Fourier Transform By Sho Nakagome Sho Jp Medium from miro.medium.com
The obvious solution will be using samples of the dtft, which is called the dft. (i) understanding the characteristics and properties of dtft. Property name linearity time shift. Here xn is a discrete sequence defined for all n : Convolution in time multiplication in time parseval's theorem (general) parseval's theorem (energy). Frequency response and sine waves x n = ejkω0n → y n = h(kω0)ejkω0n. I have to compute fourier transform and inverse fourier transform for a signal and plot its graphs (magnitude and phase). We saw that zero padding the sequence leads to samples of fourier series are placed more closely together.equivalent to saying increases the sampling rate of dtft in frequency domain

Discrete time.hence time signal is in samples, the fourier transforms are also sampled in frequency axis.

You probably know the dft by. We can represent it using the following equation. Frequency response and sine waves x n = ejkω0n → y n = h(kω0)ejkω0n. Can me anyone explain why get the $\pi$ in the dtft of the unit step? Instead of operating on sampled signals of length (like the dft), the dtft operates on sampled as a result, the dtft frequencies form a continuum. Let x (w) be the dtft of xn. Linearity time shifting frequency shifting conjugation. Frequency response o properties of dt fourier. Here xn is a discrete sequence defined for all n : Dtft is an infinite continuous sequence where the time signal (x(n)) is a discrete signal. The synthesis and analysis equations are given by I have to compute fourier transform and inverse fourier transform for a signal and plot its graphs (magnitude and phase). Discrete time.hence time signal is in samples, the fourier transforms are also sampled in frequency axis.

The dtft is defined by this pair of transform equations: dtf. Then its inverse is inverse fourier integral of x (w) in the.